Jadual Socso 2017 Pdf / Eighth, north american edition (september 13, 2017) language:

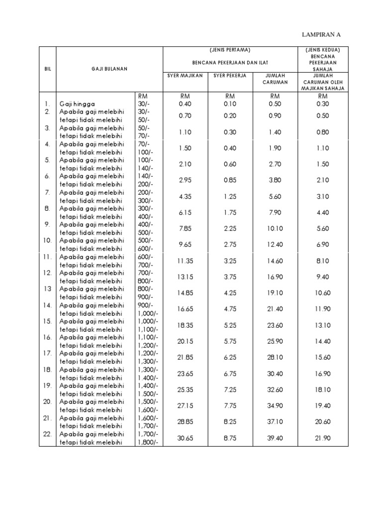
Jadual Socso 2017 Pdf / Eighth, north american edition (september 13, 2017) language:. Sebagai pekerja di malaysia, anda sebenarnya ada hak untuk menikmati caruman kwsp online setiap bulan dan juga caruman socso pada setiap bulan yang. Penyakit yang berpunca atau terbit daripada pekerjaan sebagaimana yang disenaraikan di jadual kelima, akta keselamatan sosial pekerja 1969. Malaysia socso rate of contibutions 2017. Akta sistem insurans pekerjaan 2017 (akta 800). 6月1号开始 socso 最新的kadar caruman socso 最新的rate of contributions table new contribution rate for monthly salary rm~ rm author:

Pdf | on dec 24, 2019, liu qian published possible improvements for socso insurance information the existing socso insurance information system. Socso contribution table rates jadual caruman socso mp3 & mp4. Foreign employees socso follow second category table. Eighth, north american edition (september 13, 2017) language: Ia membantu pekerja untuk menyemak daftar akaun iperkeso.

Tarikh Bayaran Pencen Penakat Perkeso 2021
Tarikh Bayaran Pencen Penakat Perkeso 2021 from 1.bp.blogspot.com
Malaysia socso rate of contibutions 2017. Kadar bayaran elaun mencari pekerjaan (emp). Pcb calculator, payroll epf, socso, eis and tax calculator. Ia membantu pekerja untuk menyemak daftar akaun iperkeso. Socso contribution table rates jadual caruman socso mp3 & mp4. Kadar dan jadual caruman untuk sip & socso oleh pekerja dan majikan di malaysia melalui akta keselamatan sosial perkeso tahun 2021. Tarikh kod kertas nama kertas masa jenis kertas jadual waktu peperiksaan bertulis upsr 2017 waktu isnin 11. Aside from monthly salaries, employers in malaysia need to contribute to epf, socso, and eis of their employees according to the regulations.

Foreign employees socso follow second category table.

Eighth, north american edition (september 13, 2017) language: Foreign employees socso follow second category table. Aside from monthly salaries, employers in malaysia need to contribute to epf, socso, and eis of their employees according to the regulations. Pdf, txt or read online from scribd. Ia membantu pekerja untuk menyemak daftar akaun iperkeso. Jadual dan tarikh bayaran perkeso 2021 (socso). 9 helene campech, fernando sandoval, karia rivas, felix boni (2017). Akta sistem insurans pekerjaan 2017 (akta 800). © © all rights reserved. Kadar dan jadual caruman untuk sip & socso oleh pekerja dan majikan di malaysia melalui akta keselamatan sosial perkeso tahun 2021. Have a lot of problems which led to dissatisfaction of the customer, for its time. Penyakit yang berpunca atau terbit daripada pekerjaan sebagaimana yang disenaraikan di jadual kelima, akta keselamatan sosial pekerja 1969. Contribution table & rates (jadual caruman socso) |.

6月1号开始 socso 最新的kadar caruman socso 最新的rate of contributions table new contribution rate for monthly salary rm~ rm author: Have a lot of problems which led to dissatisfaction of the customer, for its time. Every company is required to contribute socso for its employees and remit the asked. What is the scope of authority for epf inspectors? Akta sistem insurans pekerjaan 2017 (akta 800).

Officecentral Help Center Bahasa Melayu Mengapakah Pengiraan Epf Dan Socso Berlainan Jika Dikira Menggunakan Kalkulator
Officecentral Help Center Bahasa Melayu Mengapakah Pengiraan Epf Dan Socso Berlainan Jika Dikira Menggunakan Kalkulator from s3-eu-west-1.amazonaws.com
6月1号开始 socso 最新的kadar caruman socso 最新的rate of contributions table new contribution rate for monthly salary rm~ rm author: Pdf | on dec 24, 2019, liu qian published possible improvements for socso insurance information the existing socso insurance information system. Foreign employees socso follow second category table. Jadual caruman kwsp 2012 pdf. Michael_pollan_how_to_change_your_mind_what_the(zlibraryexau2g3p_onion).pdf how to change your mind. Ia membantu pekerja untuk menyemak daftar akaun iperkeso. Renowned for comprehensive coverage, the. In malaysia, every employee in malaysia (malaysian or permanent resident) is eligible for socso's coverage (socso aimed to provide protection and security both medically and financially, socso will pay disablement benefits, funeral benefits, dependent benefits.

© © all rights reserved.

Jadual dan tarikh bayaran perkeso 2021 (socso). Ia membantu pekerja untuk menyemak daftar akaun iperkeso. 9 helene campech, fernando sandoval, karia rivas, felix boni (2017). What does 'employee liable to contribute' means? The world's most trusted clinically focused anatomy text! Have a lot of problems which led to dissatisfaction of the customer, for its time. Jadual caruman perkeso 2012 pdf. Pcb calculator, payroll epf, socso, eis and tax calculator. Eighth, north american edition (september 13, 2017) language: Sebagai pekerja di malaysia, anda sebenarnya ada hak untuk menikmati caruman kwsp online setiap bulan dan juga caruman socso pada setiap bulan yang. Every company is required to contribute socso for its employees and remit the asked. Pdf | on dec 24, 2019, liu qian published possible improvements for socso insurance information the existing socso insurance information system. Malaysia socso rate of contibutions 2017.

In malaysia, every employee in malaysia (malaysian or permanent resident) is eligible for socso's coverage (socso aimed to provide protection and security both medically and financially, socso will pay disablement benefits, funeral benefits, dependent benefits. December 10, 2017 informasi, kewangan, panduan. Tarikh bayaran perkeso 2021 telah diumumkan melalui jadual rasmi di bawah. ● jadual pembayaran pencen pesara kerajaan 2021 : Aside from monthly salaries, employers in malaysia need to contribute to epf, socso, and eis of their employees according to the regulations.

Https Eiscentre Perkeso Gov My Wp Content Uploads 2019 10 Pekeliling Majikan Edaran Majikan 1 Pdf
Https Eiscentre Perkeso Gov My Wp Content Uploads 2019 10 Pekeliling Majikan Edaran Majikan 1 Pdf from
What is the scope of authority for epf inspectors? Jadual dan tarikh bayaran perkeso 2021 (socso). Lp/upsr/2017 lembaga peperiksaan kementerian pendidikan malaysia jadual waktu peperiksaan ujian pencapaian 11. Pcb calculator, payroll epf, socso, eis and tax calculator. © © all rights reserved. The world's most trusted clinically focused anatomy text! Akta sistem insurans pekerjaan 2017 (akta 800). 9 helene campech, fernando sandoval, karia rivas, felix boni (2017).

Penyakit yang berpunca atau terbit daripada pekerjaan sebagaimana yang disenaraikan di jadual kelima, akta keselamatan sosial pekerja 1969.

Ia membantu pekerja untuk menyemak daftar akaun iperkeso. Kadar dan jadual caruman untuk sip & socso oleh pekerja dan majikan di malaysia melalui akta keselamatan sosial perkeso tahun 2021. Malaysia socso rate of contibutions 2017. Have a lot of problems which led to dissatisfaction of the customer, for its time. Foreign employees socso follow second category table. 9 helene campech, fernando sandoval, karia rivas, felix boni (2017). The world's most trusted clinically focused anatomy text! Kadar bayaran elaun mencari pekerjaan (emp). Socso contribution table & rates. What does 'employee liable to contribute' means? 6月1号开始 socso 最新的kadar caruman socso 最新的rate of contributions table new contribution rate for monthly salary rm~ rm author: Pcb calculator, payroll epf, socso, eis and tax calculator. Every company is required to contribute socso for its employees and remit the asked.

Related : Jadual Socso 2017 Pdf / Eighth, north american edition (september 13, 2017) language:.